ELFT Evaluation
These comments provided by Neurotechnology are based on the submission results, reviewed on April 28, 2026.
In April 2026, Neurotechnology repeated its top-ranking achievement in the latest NIST ELFT using its latent fingerprint recognition algorithm. The submission secured first position in both identification and investigation scenarios on the IARPA N2N and the FBI-Provided Solved #1 datasets. It also achieved leading positions in both scenarios on the DoD-Provided Dataset #1 and shared first place in the FBI Laboratory dataset, confirming consistent top performance across multiple datasets.
What is ELFT?
ELFT (Evaluation of Latent Friction Ridge Technology) studies the computational performance and accuracy of automated open set latent identification algorithms and their associated feature extraction algorithms. These algorithms are typically components of an ABIS. In ELFT, software libraries under test assemble a reference database of images and search that database with one or more latent image probes. NIST reports on the computational performance and accuracy of these algorithms in public analysis reports.
See ELFT official results page for more information.
ELFT testing process
The base gallery contains 1.6 million identity records. Each record includes impressions of 10 rolled and 10 plain fingerprints. Some records can also include palmprint impressions. All testing scenarios share these records.
Each testing scenario also incorporates specific gallery and probe samples from real cases provided by US Government agencies or law enforcement entities. The gallery samples are used to create additional identity records in the main gallery for this testing scenario. Later, the probe samples are used for the algorithm's matching accuracy assessment across the entire gallery.
The ELFT utilized two key metrics:
- FNIR @ FPIR – False Positive Identification Rate at a given False Negative Identification Rate. This metric is used to measure how well the system would perform in a fully automated mode. A threshold is set for a certain FPIR (i.e., the allowable number of errors), and the corresponding FNIR (i.e., the percentage of missed identifications) is observed. This metric is also called "Identification".
- FNIR @ Rank – False Negative Identification Rate at a given Rank. Representation of a semi-automated mode, where the system provides a list of candidates, and an expert can review up to any number of candidates. The rank indicates how many candidates need to be reviewed, while the FNIR shows the percentage of missed identifications. This metric is also called "Investigation".
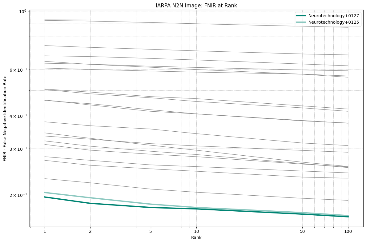
Evaluation results of the latest algorithm submission, Neurotechnology+0127, and the previous submission, Neurotechnology+0125, are provided below for each testing scenario with specific datasets. The analysis follows the same principles as NIST results reporting, showing only the best-performing submission from each vendor and highlighting the differences between algorithm providers.
FBI Laboratory Dataset
The results of Section 5 are based on searches of the sequestered dataset FBI Laboratory. This dataset consists of 49 operational latent distal phalanx probes. Examiners at the FBI annotated several of the probe images with EFS features, possibly with algorithm assistance. These examiners then confirmed the ground truth mate. All probes searched were a single sample depicting a region from a distal phalanx. EFS data provided with the probe image may include:
- Pattern classification
- Minutia locations (unconfirmed source)
The testing scenario included 38 sample images, which were added to the base dataset to form the gallery dataset, and 49 probe latent prints.
Neurotechnology's algorithm processed all of the provided images without any failures.
FBI-Provided Solved Dataset #1
The results of Section 6 are based on searches of the sequestered dataset FBI-Provided Solved Dataset #1. This dataset consists of 516 operational probes collected from a particular type of crime. Examiners at the FBI annotated several of the probe images with EFS features, possibly with algorithm assistance. These examiners then confirmed the ground truth mate. All probes searched were a single sample depicting a region from a distal phalanx. EFS data provided with the probe image may include:
- Pattern classification
- Core locations (unconfirmed source)
- Delta locations (unconfirmed source)
- Minutia locations (unconfirmed source)
The testing scenario included 173 sample images, which were added to the base dataset to form the gallery dataset, and 516 probe latent prints.
Neurotechnology's algorithm processed all of the provided images without any failures.
DoD-Provided Dataset #1
The results of Section 8 are based on searches of the sequestered dataset DoD-Provided Dataset #1. This dataset consists of 5,259 probes collected operationally by the United States Department of Defense. All probes searched were a single sample depicting a region from a distal phalanx. No EFS data was provided. Only Subject-level ground truth information was provided.
The testing scenario included 5,289 sample images, which were added to the base dataset to form the gallery dataset, and 5,259 probe latent prints.
Neurotechnology's algorithm processed all of the provided images without any failures.
IARPA N2N (Sequestered)
The results of Section 8 are based on searches of the dataset IARPA N2N (Sequestered). Images in this dataset were collected during the IARPA Nail to Nail (N2N) Fingerprint Capture Challenge. The subjects whose fingerprints are the source of this data are not present in NIST Special Database 302.
All probes searched were single samples depicting friction ridge regions. No public indication of examiner-provided EFS annotations is highlighted in the available summary.
The testing scenario included 346 sample images and 2272 probe images.
Neurotechnology's algorithm processed the provided images without any failures.
